A Pythagorean Analysis of Pressure and Sack Production in NFL Edge Defenders
Image: Las Vegas Raiders (raiders.com)
Abstract
Sack totals are widely used to evaluate pass-rush performance in the NFL, yet they are inherently low-frequency and outcome-driven. This study examines whether sack production scales nonlinearly with pressure generation among edge defenders. Using a dataset of 769 player-seasons from 2021-2024, a Bill James-inspired Pythagorean-style model was applied to test for nonlinear relationships between pressures and sacks. Model performance was evaluated using mean squared error (MSE) across multiple exponent values. Results indicate that the optimal exponent is x = 1, implying a strictly linear relationship between pressure generation and sack output. Nonlinear transformations significantly increased prediction error. These findings suggest that sack totals are primarily a function of pressure volume and variance, rather than a distinct or nonlinear skill, with implications for player evaluation and contract decision-making.
1. Introduction
Sacks are a primary metric for evaluating pass-rush performance, but they are infrequent outcomes influenced by factors beyond the defender’s control. Pressures, by contrast, capture consistent disruption and provide a more stable measure of performance. This distinction raises a central question: whether sack production scales proportionally with pressure generation or whether higher pressure produces nonlinear increases in sacks.
2. Data and Methodology
The dataset consists of 769 edge defender player-seasons from 2021 through 2024, sourced from PFF Premium data and filtered to include only observations with at least 200 pass-rush snaps. For each player-season, pressures (P), pass-rush snaps (S), and sacks (K) are recorded.
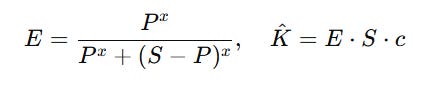
The baseline model assumes a constant conversion rate between pressures and sacks:
With c = 0.154 representing the pooled pressure-to-sack conversion rate across the dataset.
To test for nonlinear scaling, a Pythagorean-style model is applied:
Model performance is evaluated using mean squared error (MSE) over values of x ∈ {1, 1.5, 2, 2.5, 3}. All computations are implemented in Python using pandas for data processing and matplotlib for visualization.
3. Results
The linear model (x = 1) produces the lowest mean squared error (5.65). Increasing the exponent substantially increases prediction error, indicating that nonlinear transformations degrade model performance.
Predicted sack totals from the linear model closely align with observed values across the dataset.
Residual variation increases with expected sack totals, indicating greater volatility in high-production seasons.
4. Discussion
The results indicate that sack production scales linearly with pressure generation. There is no evidence that higher pressure levels produce disproportionate increases in sack output. Instead, sack totals are well approximated by pressure volume multiplied by a constant conversion rate.
At the individual level, deviations from expected production reflect variance rather than systematic differences in ability. For example, Maxx Crosby’s 2021 season generated high pressure but fell well below expected sack totals, illustrating how sack outcomes can diverge from underlying performance. Such deviations reinforce the view that sacks are a noisy outcome rather than a stable measure of pass-rush ability. His following seasons saw increases in sack production, consistent with the model’s implications, though predictive performance is not directly tested in this study.
5. Conclusion
This study finds that a linear model best describes the relationship between pressures and sacks among NFL edge defenders. Nonlinear models do not improve predictive accuracy. Sack production is therefore best understood as a function of pressure, volume, and variance, reinforcing the importance of process-based metrics in player evaluation.
6. Future Work
Future research may examine year-over-year predictive relationships or incorporate contextual variables to better understand sack conversion variation. This model also provides a framework for identifying underperformers and overperformers in the free-agent market, highlighting potential buy-low candidates and players likely to be overvalued.






